String Around a Can


StringAroundCanPhoto.jpg

Part 1.

Take a cylindrical soup can or vase, and measure its diameter D and height H. Attach to it a string (or a piece of a clothes line wire), forming a spiral from the bottom to the top, going around exactly once. Compute its length using an integral formula, and compare this value to the measured length of the piece of string used.

View of a string around a can

HelixSideView2.jpg

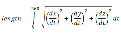
Mathematical model of the situation, which is the formula for the length of the string.

t is an angle measured in degrees around the axis of symmetry of a can.
      x = D/2*cos(t)       one horizontal coordinate;
      y = D/2*sin(t)       another horizontal coordinate;
      z = H/360*t       vertical coordinate.
Explanation:
Look at the base (a circle) of the cylinder.

StringRoundCanAlongCan.jpg

Then r is the radius, and a point on the circumference of the base (which is also on the string!) has coordinates (x, y, z). The angle T will move once around the can (just like the string does), as the height moves from 0 to H. You can then see that cos(T) = x/r, and so x = r*cos (T). And sin(T)= y/r, so y = r*sin(T). It takes one turn of the string to get to the top, H, namely, a turn of 360 degrees. So H/360 is the distance the string goes up *per degree*. So when the string moves T degrees, the height of the string increases by H/360*T, which is the z coordinate. This is the distance traveled vertically.

One full turn of 360 degrees lifts the string to the height H.

Length = Integral of √((dx/dt)2+(dy/dt)2+(dz/dt)2)*dt for t from 0 to 360 degrees:

IntegralEquation.jpg

Program.
Set MODE to DEGREE and PAR.
Define,
\X1T=D/2cos(T)       this is x;
\Y1T=D/2sin(T)       this is y;
\X2T=H/360T       this is z.
\Y1=fnInt(√nDeriv(X1T,T,T)2+nDeriv(Y1T,T,T)2+(nDeriv(X2T,T,T)2),T,0,X)

Enter values of D and H.
Compute,
Y1(360)
ENTER
How does this length compare to the measured length of the string?
Another question: How long is a string that goes around the can TWICE?
You can compute this using an integral, or using the method shown in Part 2.

Part 2.

Finding the length of the string using the Pythagorean Theorem

Cut a rectangular piece of paper to just cover the lateral surface of your cylindrical soup (or other) can or vase. Tape the paper on the can. Next, measure the can's diameter D and height H. Attach to the can a string (or a piece of clothes line wire), and form a spiral from the bottom to the top, going around exactly once. With a pencil, draw the spiral (it is called a helix) on the paper that is wrapped around the can. Now untape the paper and lay it flat. What shape does the line make now? See the pictures below!

StringRoundCanAlongCan1Turn.jpg

StringRoundCanAlongCan2Turns.jpg

How do these lengths compare with the lengths using the integral formula in Part 1?


Webpage Maintained by Owen Ramsey
Calculus Index